La petite histoire nous dépeint Lully tapi derrière un pilier de l’Hôtel de Bourgogne pour travailler à l’élaboration de son récitatif en notant au vol la déclamation des grands comédiens de son temps. Il s’agit probablement d’une fable (Footnote: On n’en trouve aucune mention avant Lecerf de la Viéville, Comparaison (1704).), mais une fable est une fiction qui, souvent, énonce une vérité. Il n’est donc pas totalement farfelu d’emprunter le chemin inverse en interrogeant les mélodies de Lully à la recherche des traces qu’a pu y laisser l’intonation des comédiens du xviie siècle. C’est à une première incursion (Footnote: Communication prononcée le 25 novembre 2010 lors de l’Atelier international sur la prononciation du français vers 1700 organisé à l’Université de Poitiers par Philippe Caron. Vidéo disponible. ) dans ce territoire encore fort peu exploré que sont consacrées les deuxième et troisième parties de cet article. Auparavant, il aura fallu préciser quelque peu la description de l’objet poétique dont il est question ici.
Se pourrait-il que l’« alexandrin de Quinault-Lully » présente des caractéristiques formelles qui le distinguent d’autres alexandrins comme ceux de Corneille et Racine ou alors celui de Quinault dramaturge ? La question se posera avec plus ou moins d’acuité selon le point de vue adopté. Si l’on se borne à une approche étroitement métrique, on se rendra vite à l’évidence : les alexandrins composés par Quinault pour Lully sont, ni plus ni moins, des alexandrins. À l’instar d’un cristal sans impuretés, l’alexandrin classique est une structure régulière et invariante dont la définition se résume aux quelques lignes qui figurent, au xviie siècle déjà, dans les traités d’un Lancelot, d’un Mourgues ou d’un Richelet :
Nos plus grands Vers, ou nos Vers Alexandrins, ont douze syllabes, avec un repos au mileu. Ce repos doit estre necessairement ou la fin d’un mot, ou un monosillabe, sur lequel l’oreille puisse agreablement s’arrester. (Footnote: Richelet, La Versification françoise, p. 26.)
N’ayant rien d’essentiel à ajouter à cela, la linguistique contemporaine doit se contenter de le reformuler de manière plus exhaustive et systématique, comme l’a fait Gouvard en appliquant à une série de vers de Racine le marquage proposé naguère par Cornulier (Footnote: Gouvard, Le Vers de Racine. Cornulier, Théorie du Vers.) pour des vers bien ultérieurs. Ce marquage désigne des syllabes « faibles » d’un point de vue prosodique :
les déterminants, pronoms et autres Clitiques : « C »,
les Prépositions monosyllabiques : « P »,
les syllabes prétoniques de tous les Mots de plus d’une syllabe : « M »,
les syllabes Féminines : « F ».
Dans la figure 1, il saute aux yeux que les colonnes correspondant aux positions 6 et 12 de l’alexandrin sont vides. Autrement dit, toutes les syllabes marquées comme « faibles » y sont proscrites : seules des syllabes dites accentuées (ou toniques), celles sur lesquelles l’oreille de Richelet aurait pu « s’arrêter agréablement », sont admises dans les positions métriques « fortes » que sont la césure et la rime. On voit aussi que le marquage « F » est exclu de la position 7 : conformément aux règles classiques, les syllabes féminines non élidées ne peuvent occuper la position qui suit directement la césure. Si l’on soumettait au même marquage tout ou partie des alexandrins de Quinault, on aboutirait exactement aux mêmes constatations. Rien de métrique ne saurait distinguer un alexandrin classique d’un autre alexandrin classique.
En élargissant le champ pour prendre en compte des aspects non métriques du rythme, on peut en revanche espérer distinguer plusieurs types d’alexandrins. Parmi tous les rythmes prosodiques imaginables, c’est celui reposant sur les accents toniques qui a été le plus étudié et qui, de fait, semble le plus pertinent. Ainsi, Beaudouin, travaillant sur un impressionnant corpus d’alexandrins de Corneille et Racine (Footnote: Beaudouin, Mètre et rythmes du vers classique, p. 319 et sq.), a-t-elle pu étudier à une échelle large la manière dont les accents se répartissent entre les positions métriques.

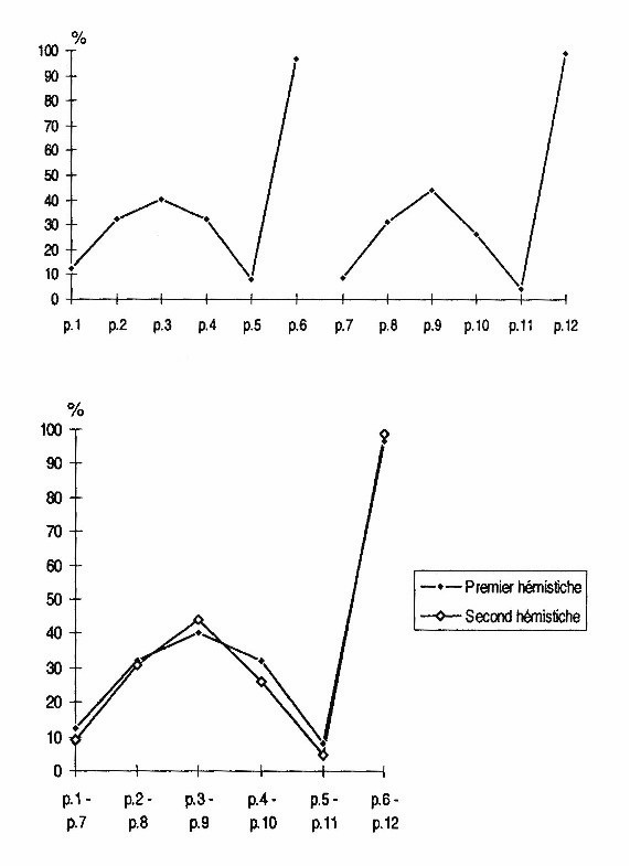
Dans les courbes présentées par la figure 2, on remarque tout d’abord les pics à presque (Footnote: Le fait qu’ils n’atteignent pas effectivement les 100 % chez Beaudouin est dû à un défaut de la technique de marquage automatique utilisée et non, bien sûr, à des erreurs de versification chez Corneille et Racine.) 100 % qui apparaissent aux positions 6 et 12. Ces pics, qui sont parfaitement triviaux, ne disent rien d’autre que ce que proclament les colonnes vides du tableau de Gouvard ou ce qu’entend l’oreille de Richelet. Ils ne font que répéter, sous une forme encore différente, la définition de l’alexandrin classique en tant que mètre. Plus intéressante est l’observation selon laquelle les autres positions ne sont pas toutes égales eu égard à l’accent. Les positions centrales des hémistiches (3 et 9), par exemple, accueillent plus de syllabes accentuées que leurs voisines. De plus, la courbe du second hémistiche apparaît un peu plus pointue que celle du premier. On reviendra sur ces observations.
Dans l’idéal, on souhaiterait pouvoir disposer d’une technique infaillible et universellement reconnue pour marquer les accents toniques dans un texte littéraire. Malheureusement, le flou qui entoure la notion même d’accent dès lors qu’on cherche à l’appliquer à la langue française rend un tel consensus illusoire. Dans la réalité, chaque chercheur a développé sa propre technique de marquage accentuel. Avant de pouvoir comparer entre eux des résultats obtenus par des techniques différentes, il faudra donc toujours se demander quel est leur degré de convergence.

L’examen comparatif par Billy (Footnote: Billy, Méditations sur quelques nombres.) du marquage « CPMF » de Cornulier avec celui utilisé par Dinu (Footnote: Dinu, Structures accentuelles de l’alexandrin chez Racine. Dans l’article original, les différents niveaux d’accentuation que Billy transcrit par des nombres décroissants de 3 à 0 sont respectivements rendus par un macron surmonté de deux accents (syllabe proéminente d’un mot « plein » polysyllabique), d’un seul accent (mot plein monosyllabique), un macron seul (syllabe proéminente d’un instrument grammatical polysyllabique) et un micron (autres syllabes).) fait bien apparaître leurs discordances. En regard de chacun des vers de la figure 3, on trouve, en haut, le marquage quantitatif de Dinu qui compte quatre niveaux d’accentuation. En première approximation, les syllabes marquées « 0 », autrement dit celles qui sont, pour Dinu, les moins proéminentes, correspondent aux syllabes « faibles » mises en évidences par le marquage « CPMF ». Il y a cependant des exceptions. Par exemple, au premier vers, Dinu marque « 0 » l’adverbe si qui ne fait pas partie des mots grammaticaux marqués « C » par Cornulier. Inversement, au vers 2, la première syllabe de une est marquée « C » par Cornulier alors que Dinu lui attribue la valeur « 1 ».
Plus généralement, les techniques de marquage peuvent fonctionner selon deux principes opposés : l’inclusion ou l’exclusion. Dans le premier cas, on considère que l’accent tonique frappe la dernière syllabe non féminine de tous les mots « pleins ». Beaudouin, par exemple, considère comme tels les « mots appartenant aux catégories suivantes : substantif, nom propre, verbe, adjectif et adverbe » (Footnote: Beaudouin, Mètre et rythmes, p. 230.). Limpide en apparence, cette classification suscite de nombreuses hésitations : quel statut réserver aux verbes auxiliaires, à certains adverbes monosyllabiques comme « si », « très », ou alors à des conjonctions comme « mais », « car », aux relatifs qui, souvent, sont suivis d’une virgule ? Chaque chercheur répondra pour lui-même à ces questions. Ci-dessous, on a appliqué un tel marquage (syllabes soulignées) à quelques vers d’Iphigénie (les adverbes si et plus n’ont pas été soulignés) :
À l’inverse, les marquages par exclusion considèrent que l’accent tonique frappe tout les mots, à l’exception d’un petit nombre de mots grammaticaux considérés comme « vides ». Voici la liste des mots inaccentués que Cornulier exclut en les marquant « C » : « articles définis le, la, les ; indéfinis ou contractés un, une, des, du, au, aux ; possessifs mon, ma, mes, ton, ta, tes, son, sa, ses, notre, nos, votre, vos, leur(s) ; démonstratifs ça, c(e), cette, cet, ces ; formes paraverbales je, tu, il(s), elle(s), on, c(e), nous, vous, l(e), la, les, se, lui, leur, en, y, ne, et en position postverbale moi, toi ; ci et là après trait d’union. » (Footnote: Cornulier, Théorie du Vers, p. 139.). S’ajoutent à la liste, marquées « P », les prépositions monosyllabiques, à savoir à, chez, contr(e), dans, de dès, en, entr(e), hors, sans, sous, sur, vers. Procédant aussi par exclusion, le marquage retenu pour le présent travail utilise, à quelques infimes détails près, la même liste de mots « vides » (Footnote: On en trouve une description plus détaillée dans l’annexe C de Bettens, Chronique d’un éveil prosodique.). La distinction entre « C », « P », « M » et « F » a par contre été abandonnée car, conçue pour l’étude de la dissolution de la césure dans le vers romantique et post-romantique, elle n’apporte quasiment rien à celle du vers classique. Dans les mêmes vers de Racine, les mots « vides » ont simplement été reliés au mot « plein » sur lequel ils s’appuient par un signe « ° », les espaces restantes délimitant donc des groupes accentuels minimaux dont la dernière syllabe masculine est par définition considérée comme accentuée (Footnote: L’ordinateur est capable de traiter directement ce texte légèrement modifié, à savoir de le syllaber et de repérer les syllabes accentuées et les syllabes féminines.) :
Et depuis quand, Seigneur, tenez-vous ce langage ?
Comblé de tant d’honneurs, par quel secret outrage
Les Dieux, à vos désirs toujours si complaisants,
Vous font-ils méconnaître et haïr leurs présents ?
Roi, père, époux heureux, fils du puissant Atrée,
Vous possédez des Grecs la plus riche contrée.
Et depuis quand, Seigneur, tenez°vous ce°langage ?
Comblé de°tant d’*honneurs, par°quel secret outrage
Les°Dieux, à°vos°désirs toujours si complaisants,
Vous°font-ils méconnaître et ha-ïr leurs°présents ?
Roi, père, époux *heureux, fils du°puissant Atré-e,
Vous°possédez des°Grecs la°plus riche contré-e.
Comme on pouvait s’y attendre, ces deux marquages ne concordent que partiellement. Il existe en effet des mots qui ne sont pas assez « pleins » pour être inclus par le premier et pas assez « vides » pour être exclus par le second. Ces mots, qu’on qualifiera de « gris », ont été mis en évidence ci-dessus.
Forcément imparfait, un marquage de ce type ne vise pas à obtenir une scansion « réaliste », immédiatement satisfaisante pour le lecteur, de vers individuels mais bien à rendre possible des statistiques sur de nombreux vers superposés. De ce fait, c’est plus son impartialité (il devrait idéalement se fonder sur des critères prédéterminés et éviter toute décision ad hoc) et son efficacité (on doit pouvoir marquer « au kilomètre » de très nombreux vers) qui sont importantes, ses imperfections étant susceptibles de produire un léger bruit de fond qui ne devrait pas trop gêner l’analyse statistique. Pour les mêmes raisons, on renonce à toute hiérarchisation des accents et à toute règle d’« effacement » (Footnote: De telles règles sont parfois proposées, notamment par Dinu, Structures accentuelles.) visant à éviter le marquage de plusieurs syllabes consécutives : le gain en réalisme que visent les marquages nuancés se paie immanquablement en termes d’impartialité et d’efficacité.
Il est intéressant de comparer, pour un corpus donné, le résultat de deux marquages binaires et, autant que faire se peut, impartiaux. Dans la figure 4, la courbe supérieure correspond aux taux d’accents donnés par le marquage inclusif de Beaudouin (Footnote: Beaudouin, Mètre et rythmes, p. 322.) pour son corpus CORRAC d’environ 75 000 alexandrins. Pour constituer la courbe inférieure, un échantillon comprenant les 10 569 alexandrins de quatre pièces de Corneille et de deux pièces de Racine (Footnote: Médée, Le Cid, Œdipe, Tite et Bérénice, Andromaque et Iphigénie.) a été soumis au marquage exclusif choisi pour ce travail (Footnote: Ce n’est pas parce qu’il est intrinsèquement meilleur, mais bien parce qu’il est beaucoup plus efficace que le marquage par exclusion a été utilisé ici.). On postule que cet échantillon, dénommé minicorrac, est représentatif du corpus global.
L’aspect général des deux courbes est fort heureusement le même. L’espace les séparant correspond justement aux mots « gris » que recrute le marquage par exclusion mais qui échappent à celui par inclusion. Si l’on admet que le premier suraccentue quelque peu et que le second sousaccentue nettement, la vérité — si vérité il y a — doit se situer quelque part entre les deux. On note toutefois que c’est surtout en début de segment métrique que l’écart entre les deux marquages se creuse, alors qu’il tend à se réduire au fur et à mesure qu’on approche de la césure et de la rime. Il semble donc bien que les mots gris se concentrent en début d’hémistiche, de la même manière que, dans la prose, des mots outils au statut accentuel douteux comme les conjonctions et les relatifs tendent à apparaître en début de syntagme.
Confronté aux profils d’hémistiches des figures 2 et 4 a), le lecteur se trouve si l’on veut dans la situation d’un béotien à qui l’on soumettrait les deux portraits de la figure 4 b) en lui demandant lequel est le plus ressemblant. N’ayant jamais vu le modèle, et ne connaissant pas le style du peintre, il serait incapable de se déterminer. L’amateur d’art, qui connaît le style « vertical » du Greco, comprend immédiatement que le vrai portrait est celui de droite alors que, à gauche, il a été étiré en largeur de manière à corriger l’effet de style pour obtenir une image qui, probablement, ressemble plus au modèle que le portrait original.
Le travail de Beaudouin sur le corpus CORRAC fait clairement ressortir deux profils d’hémistiches dont le second est plus pointu que le premier, mais sa méthode ne fournit aucune clé d’interprétation de cette différence. L’un de ces tracés est-il normal et l’autre est-il au contraire le résultat d’un effet de style ? Si oui, lequel ? Pour tenter de répondre à cette question, il faudrait pouvoir remonter au modèle, celui d’un alexandrin métriquement bien formé, mais dont les accents se répartiraient selon les seules lois du hasard, sans qu’on puisse le moins du monde soupçonner le poète d’avoir, consciemment ou non, favorisé l’une ou l’autre position.
Dans un article fondamental paru en 1987, Gasparov (Footnote: Gasparov, A Probability Model of Verse.) propose deux méthodes pour constituer un modèle de vers. La première consiste à rechercher, dans des textes en prose, des segments qui peuvent passer pour des vers. Une collection de ces « vers » fortuits peut être analysée de la même manière qu’un corpus de vers réels et, en particulier, la manière dont les accents se répartissent entre ses positions. Une croyance assez répandue, remontant au moins à Vaugelas (Footnote: Vaugelas, Remarques, p. 102.), voudrait que les prosateurs évitent « autant qu’il se peut » les vers dans la prose. Pour Beaudouin, un outil informatique qui permettrait de les repérer montrerait probablement « que les vers blancs sont très significativement absents de la prose du xviie siècle, et que les auteurs prennent grand soin de les éviter » (Footnote: Beaudouin, Mètre et rythmes, p. 272.). Il n’en est en fait rien. Alors que le lecteur humain, dès lors qu’il se plonge dans la prose, apparaît comme métriquement immunisé et ne repère spontanément aucun alexandrin (ce qui alimente la croyance selon laquelle il n’y en a pas), l’ordinateur en débusque un assez grand nombre.
Dans les préfaces de Racine, dont le volume global équivaut à peu près à celui d’une tragédie, l’outil développé pour le présent travail a repéré pas moins de 684 alexandrins fortuits (Footnote: La consigne donnée à l’ordinateur consiste à repérer tout segment de 12 syllabes dont la sixième et la douxième correspondent à la dernière syllabe masculine d’un groupe accentuel minimal. Les syllabes féminines non élidées sont, conformément à la règle classique, interdites en position 7 mais bien sûr autorisées après la position 12. Par contre, il n’est, à ce stade, pas tenu compte de la ponctuation. Enfin, les hiatus ne sont pas proscrits car on considère que leur effet sur le rythme est statistiquement négligeable.) dont voici quelques spécimens :
ne°soit très°nécessaire. Et les°plus belles scènes
en°danger d’ennuy-er, du°momènt qu’on°les°peut
mesuroit ses°desseins bien plus à°la°grandeur
Plutarque semble avoir pris plaisir à°décrire
Se pourrait-il que le dramaturge cède plus qu’un autre aux sirènes du vers dans la prose ? Cela n’est pas le cas : l’ordinateur débusque 1 593 alexandrins dans les deux premiers livres du Roman de l’Astrée, 841 dans la première partie de La Princesse de Clèves et 1 215 dans la première moitié de L’Autre Monde de Cyrano de Bergerac. Les profils correspondant aux alexandrins fortuits de ces quatre collections sont présentés dans la figure 5. Ils coïncident assez étroitement : on dispose donc d’une première esquisse de modèle d’alexandrin qu’il est tentant de représenter sous la forme d’une moyenne avec des marges de tolérance (Footnote: Elles sont fixées à ± 2 écarts-types.) (figure 6).
À ce modèle fondé sur la prose (speech model), Gasparov en préfère toutefois un second, fondé sur la langue (language model). Considérant que la prose, en tant que style, est susceptible d’obéir à ses propres lois rythmiques, Gasparov favorise une approche probabiliste dont la portée, postule-t-il, sera plus générale. La langue comporte des groupes accentuels caractérisés par leur nombre de syllabes et leur finale (masculine ou féminine) dont il mesure, à partir d’échantillons, la distribution de fréquences. Ces briques élémentaires pouvant se combiner au hasard, il détermine, pour toutes les combinaisons possibles, une probabilité d’occurrence en multipliant entre elles les fréquences élémentaires de chaque brique. Par sommation, il parvient ensuite à prévoir le taux d’accents que le hasard attribuerait à chaque position. Le problème de cette approche est que, pour un mètre donné, les combinaisons possibles deviennent vite très nombreuses, ce qui rend les calculs longs et fastidieux : Gasparov est contraint de simplifier son modèle à outrance, au risque d’une perte de précision qu’il est difficile d’évaluer.
Plutôt que de calculer des probabilités, on se propose ici de viser au même but en recourant à une technique de simulation : un échantillon représentatif de la langue du xviie siècle, composé des quatre corpus de la figure 5, est découpé en groupes accentuels minimaux (41 113 au total (Footnote: Pour ses propres travaux sur le vers français, Gasparov disposait d’échantillons totalisant 4 278 groupes accentuels.)). Ces groupes sont placés dans un grand « chapeau » virtuel dans lequel l’ordinateur viendra les tirer au sort pour les mettre bout à bout. Lorsqu’il obtient un segment d’au moins 12 syllabes, il contrôle s’il correspond à la définition métrique de l’alexandrin. Si non, il le rejette et recommence l’opération à zéro. Si oui, il le verse dans un néocorpus d’alexandrins aléatoires qui, lorsqu’il atteindra quelques milliers d’unités, pourra être analysé et comparé à des corpus de vers réels.
Toujours dans la figure 6, un néocorpus de 2 000 alexandrins aléatoires est confronté avec le modèle obtenu à partir des vers fortuits. Comme on peut le constater, les deux courbes se superposent presque parfaitement. On en conclut que les craintes de Gasparov sont sans fondement : il n’existe pas de différence notable entre un modèle fondé sur la prose et un modèle fondé sur la langue. S’agissant du français du xviie siècle, les contraintes de cohérence sémantique et syntaxique qui sont propres à la prose n’ont donc aucune répercussion rythmique.
Il faut maintenant confronter le modèle avec un corpus de vers réels (figure 7). Ici, la correspondance est loin d’être parfaite. L’écart au modèle pourrait-il correspondre à un effet de rythme indépendant du canon métrique, ou alors le modèle proposé souffre-t-il encore de quelques imperfections ? A priori, on penche pour la seconde hypothèse. On se souvient en effet que le marquage par exclusion utilisé ici considère comme accentués les mots « gris » qui, comme on l’a vu, se concentrent, dans les vers réels, en début de segment métrique. Or, cette caractéristique n’a pas été prise en compte dans la constitution du modèle : les vers fortuits admettent comme bornes, indépendamment de la syntaxe, n’importe quelle frontière entre deux groupes accentuels et l’on peut supposer que les mots « gris » s’y répartissent de manière diffuse entre les positions. Un fragment de prose comme :
Clé-ofile en°usa envers Alexandre, et
dans lequel la conjonction occupe la dernière position, est admis comme alexandrin par cette première version du modèle alors qu’il est hautement improbable qu’une situation analogue se produise à la fin d’un vers réel.
Pour tenter de corriger cette imperfection, on peut décider de ne retenir comme alexandrins fortuits que les segments de prose qui, en plus de compter 6+6 syllabes, se terminent par une marque de poncuation (Footnote: Lorsque cela est possible, on préfère par principe la ponctuation d’une édition contemporaine de l’auteur à celle d’une édition moderne.). La même consigne sera donnée au générateur de vers aléatoires.
Dans la figure 8, qui ne présente que des seconds hémistiches, on s’aperçoit que les vers ponctués, qu’ils soient fortuits ou aléatoires, s’écartent du modèle initial pour se rapprocher des vers réels : c’est particulièrement net en position 11. De manière générale, les positions pénultièmes des segments métriques tendent, dans le vers français, à être très pauvres en accents et l’on peut se demander s’il s’agit d’un effet de vers ou d’un effet de langue. On tient ici la réponse : dans la mesure où les fins de vers se comportent de la même manière que des segments de prose bornés par une marque de ponctuation, il est possible d’affirmer que ce sont les syntagmes — et non les vers ou les sous-vers – dont les pénultièmes syllabes sont très peu fournies en accents. Les poètes ne font donc, dans ce cas particulier, que se conformer aux lois de la langue.
Un tel constat incite à proposer une seconde version du modèle qui prenne en compte cette polarité du syntagme. Pour ce faire, on devra se résoudre à abandonner les vers fortuits (ou le modèle fondé sur la prose). En effet, plus les contraintes de sélection seront importantes, moins il sera aisé de trouver des vers fortuits bien formés et plus grand sera le volume de prose à traiter pour en débusquer un nombre suffisant : l’efficacité de la méthode en fera les frais. En revanche, quelle que soit la sévérité des contraintes, il sera toujours possible, en partant d’un échantillon de langue donné, de générer des alexandrins aléatoires qui y satisferont. Seul le temps de calcul s’allongera, ce qui, au vu de la puissance des ordinateurs actuels, n’est pas trop handicapant.
Un autre avantage de la simulation sur la recherche de vers fortuits ou le calcul des probabilités est qu’elle permet de jouer finement avec divers paramètres. Si, d’une manière ou d’une autre, on agit sur les règles de sélection pour diminuer la présence de mots « gris » en fin de vers, on risque, en diminuant globalement la proportion de monosyllabes, d’obtenir des vers aléatoires qui comportent en moyenne moins de groupes accentuels que des vers réels. Le modèle risque donc de sous-évaluer les taux d’accents. Pour corriger cet effet, il est possible d’assigner au générateur une cible en matière de nombre d’accents par vers. Selon ce principe, un vers aléatoire qui a passé tous les tests de sélection ne sera effectivement ajouté au néocorpus que s’il rapproche ce dernier de la cible.
Le modèle corrigé proposé ici vise une cible de 5,2 accents par alexandrin, ce qui correspond à la moyenne observée dans les vers réels. Pour simuler la polarité syntaxique qui chasse les mots « gris » des fins de vers, deux procédés distincts sont employés : forcer, en fin de segment métrique, des groupes accentuels qui sont suivis d’une marque de ponctuation ou fixer au moyen d’une cible le taux d’accents de la pénultième syllabe des segments métriques. Voici quelques exemples d’alexandrins aléatoires polarisés produits par le générateur :
lui s’ils°étaient allé, d’Agrippine j’avou-e
entre que°le°berger l’on°attend Il°blâma
aussi le°plus la°lune. à°leur°place et costé
cette°odeur luy°dit°il, qu’ils°ont querir. s’estoit
le°monde. la°grandeur, Ménandre figurez.
ont de°trouble. d’ici, eux ne°portaient Amour.
Dans le but d’éprouver l’élasticité du modèle et afin de pouvoir déterminer des marges de tolérance, 9 néocorpus de 2 000 vers chacun seront générés sur la base des contraintes qui sont énumérées dans le tableau 1.
Les 9 profils correspondant à ces néocorpus constituent un faisceau de possibles (figure 9) qu’on peut représenter sous la forme d’un profil moyen avec des marges de tolérance (Footnote: Pour déterminer les marges de tolérance, on ajoute les marges de tolérance de l’illustration 7, qui prennent en compte la variation linguistique, à 2 écarts-types des valeurs obtenues par les 9 néocorpus, représentant l’élasticité attendue du modèle.) (figure 10).
Comme il se doit, la dernière position de chaque hémistiche est fixée à 100 % d’accents par des contraintes métriques. La pénultième, quant à elle, demeure en dessous de 10 % du fait de contraintes linguistiques. C’est donc dans les positions résiduelles que mètre et langue interagissent, avec pour résultat un tracé en cloche comportant un maximum relatif sur la troisième position de chaque hémistiche. La position anté-pénultième de chaque hémistiche se caractérise par une plus grande dispersion des tracés. Cela tient au fait que deux procédés différents, dont aucun n’est absolument satisfaisant, ont été utilisés pour simuler la polarité syntaxique des hémistiches. La fixation arbitraire du taux d’accents en position pénultième donne un résultat plus élevé que le choix d’unités ponctuées en fin de segment : elle favorise quelque peu l’accumulation de mots « gris » dans ces positions antépénultièmes. La différence, plus marquée au premier hémistiche qu’au second, s’estompe pour leurs 3 premières positions.
On postule que ce modèle, qu’on appellera désormais Alex17, est suffisamment tolérant pour englober les fluctuations dans les taux d’accents dépendant du seul hasard. Par conséquent on interprétera un tracé qui sortirait largement des marges du modèle comme correspondant à une intention, consciente ou inconsciente, du poète, et donc à un effet de style.
Maintenant qu’un modèle de l’alexandrin du xviie siècle a pu être constitué, il est possible de lui confronter divers corpus d’alexandrins représentatifs des styles poético-dramatiques en vigueur à l’époque. On commencera par Tite et Bérénice, une tragédie de la fin de la carrière de Corneille (1670) et donc contemporaine des grandes pièces de Racine. Le profil de cette pièce (figure 11 a) reste, pour toutes ses positions, extrêmement proche du tracé moyen d’Alex17. On peut par conséquent considérer ce vers comme essentiellement « prosaïque » : loin de favoriser tel ou tel rythme, le poète s’est contenté, à l’intérieur du carcan 6-6 imposé par le mètre, de laisser les accents se distribuer selon les lois du hasard. Si l’on élargit le corpus aux quatre pièces de Corneille appartenant au corpus minicorrac déjà évoqué (figure 11 b), on constate une très légère augmentation du taux d’accents en position 9, mais le tout reste dans les marges du modèle.
Le fait que les vers d’un poète considéré comme une incarnation du classicisme restent calqués sur un modèle qui n’impose à la langue aucune autre contrainte que celle du mètre syllabique suffit à invalider les thèses d’auteurs qui, de Huygens (Footnote: Worp, Lettres du Seigneur de Zuylichem à Pierre Corneille.) à Pensom (Footnote: Pensom, Accent and metre in French ; Accent et syllabe dans le vers français.), en passant par Scoppa (Footnote: Scoppa, Des beautés poétiques de toutes les langues.) — les théories de cet Italien ont durablement influencé les métriciens français aux xixe et xxe siècles — et Volkoff (Footnote: Volkoff, Vers une métrique française.), remettent en question la définition traditionnelle du mètre français. Il s’agit souvent d’allophones francophiles qui ne peuvent supporter l’idée que le vers français ne soit « que » syllabique. Au prix de quelques contorsions méthodologiques, ils découvrent toutes sortes de régularités accentuelles dont ils veulent faire une composante essentielle du mètre. S’il fallait leur donner raison, on devrait aussitôt en déduire que les alexandrins de Corneille ne sont pas des vers, puisque dépourvus de telles régularités.
Mais tous les alexandrins du xviie siècle ne sont pas aussi prosaïques que ceux de Corneille. Analysé dans son ensemble, le corpus minicorrac (figure 11 c) est nettement plus pointu en position 9 que sa composante cornélienne, ce qui, logiquement, ne peut provenir que de sa composante racinienne dont le profil isolé (figure 11 d) révèle un vers très asymétrique dont le premier hémistiche est complètement prosaïque et dont le second hémistiche présente un surcroît d’accents sur sa position médiane qui se situe, cette fois-ci, largement en dehors des marges de tolérance d’Alex17.
Avec Boileau et ses Épîtres (figure 11 e), on trouve un alexandrin dont les deux hémistiches sont nettement rythmés sur leur position médiane. Il en va de même pour l’alexandrin de Malherbe (figure 11 f), qui frappe par un taux d’accents particulièrement élevé en position 9. Des vers à chanter comme ceux des airs de cours de Guédron et Boesset (figure 11 g), des airs sérieux de Lambert et Bacilly (figure 11 h) ou des ballets de cour des années 1650-60 (figure 11 m) se caractérisent tous par deux hémistiches rythmés sur leur position médiane. Contemporain du début de la carrière de Corneille, le vers de la Marianne de Tristan l’Hermitte (figure 11 l) est très légèrement rythmé sur son premier hémistiche dont la position médiane atteint la limite supérieure de la marge de tolérance du modèle mais, dans l’ensemble, il reste proche du vers de Corneille.
Si l’on en vient maintenant à Quinault (Footnote: Les deux corpus « Quinault » exploités ici comprennent, pour les tradédies dramatiques, Astrate et Bellérophon (3 098 alexandrin)ainsi que, pour les tragédies en musique, Cadmus et Hermione, Alceste, Atys, Isis, Roland et Armide (2 048 alexandrins).), on constate que l’alexandrin de ses tragédies dramatiques (figure 11 i) est assez proche de celui de Corneille : les taux d’accents des positions médianes de ses deux hémistiches sont à la limite supérieure des marges de tolérance du modèle. Les alexandrins de ses tragédies en musique (figure 11 k), par contre, sont carrément rythmés puisque les marges de tolérance des positions médianes des deux hémistiches sont nettement dépassées. Ils se rapprochent donc des autres vers chantés. Quinault ne compose en fait pas exactement le même alexandrin selon qu’il travaille pour le théâtre ou cherche à contenter Lully.
En tant que segments de six syllabes dont la dernière est forcément accentuée, les hémistiches peuvent donner lieu à 25, soit 32 profils accentuels distincts au maximum. Pour organiser cette multitude, les auteurs ont souvent cherché à répartir ces profils en deux ou trois formes, l’une dont le rythme tend vers le binaire, abusivement qualifiée d’« iambique », l’autre dont le rythme tend vers le ternaire, tout aussi abusivement qualifiée d’« anapestique », les plus prudents d’entre eux ménageant une forme « irrégulière » pour des hémistiches inclassables.
Plusieurs auteurs signalent des disparités de distribution entre la forme « iambique » et la forme « anapestique ». Pour Dinu, il semble exister, dans les 200 premiers vers d’Andromaque, une affinité du premier hémistiche pour la forme « iambique » (Footnote: Cependant, au vu de la taille de l’échantillon et des chiffres donnés, la différence n’est pas statistiquement significative. Dinu, Structures accentuelles, p. 68.). Pour Beaudouin, qui travaille sans modèle, le corpus CORRAC se caractérise par une fréquence plus élevée des profils réguliers, c’est-à-dire qui correspondent aux formes « anapestique » ou « iambique », au second hémistiche qu’au premier (Footnote: Beaudouin, Mètre et rythme, p. 415.). Gasparov, qui définit ses formes de manière légèrement différente (tableau 2), constate que, dans ses échantillons de vers réels (Footnote: Belleau, Racine, Chénier, Beaudelaire. Gasparov, A probability model of verse, p. 334.), les formes « régulières » sont plus fréquentes que dans son modèle probabiliste. Il note aussi une fréquence de la forme « iambique » au premier hémistiche plus élevée que ne le prévoit son modèle, mais dans les vers féminins seulement alors que la forme « anapestique » est préférée au second hémistiche pour tous les vers. Enfin, Biggs (Footnote: Biggs, A Statistical Analysis, p. 169 et sq.), qui travaille avec des modèles fondés sur la prose (vers fortuits), conclut à une surreprésentation de la forme « iambique » dans la quasi-totalité de ses échantillons (avant tout des seconds hémistiches de décasyllabes du xvie siècle), à l’exception des seconds hémistiches de Racine (Iphigénie) qui font montre d’une affinité pour la forme « anapestique ».
Le modèle Alex17 étant plus fin que ceux utilisés par ces auteurs dont les observations apparaissent à première vue disparates voire discordantes, il va être intéressant d’utiliser celui-là pour départager ceux-ci. On lui demandera donc de prédire le taux de formes « iambique » et « anapestique » (selon les définitions de Gasparov et Beaudouin) qu’obtiendrait un poète sans intention rythmique aucune. Le résultat de cette prédiction sera comparé, hémistiche par hémistiche, aux composantes cornélienne et racinienne du corpus minicorrac.
Parmi les barres de la figure 12, les seules qui outrepassent largement les marges du modèle (Footnote: Comme c’est le cas pour les profils accentuels, les marges de tolérance sont établies en ajoutant un écart lié à la variation linguistique (ici, 3,5 %) à un écart figurant l’élasticité du modèle et correspondant à deux écarts-types des valeurs obtenues par chacun des 9 néocorpus le constituant.) correspondent, tant pour la nomenclature de Beaudouin que pour celle de Gasparov, au second hémistiche de Racine. Comme le laissait présager l’augmentation du taux d’accents précédemment observé en position 9 (figure 11), c’est la forme « anapestique » qui y est fortement surreprésentée. La forme « iambique » n’étant pas significativement abaissée dans cet hémistiche, on en déduit que c’est avant tout la forme « irrégulière » qui en fait les frais. Il y a donc effectivement, mais dans cet hémistiche seulement, un taux de formes « régulières » augmenté. Chez Corneille et dans le premier hémistiche de Racine, le taux de formes « régulières » correspond par contre assez exactement à ce que prédit Alex17.
Nulle part on ne note de surreprésentation de la forme « iambique » qui, au contraire, reste partout très proche des prédictions du modèle. La tendance généralisée à l’« iambicité » que relèvent Biggs et, pour le premier hémistiche de Racine, Dinu, est donc infirmée par Alex17.
En résumé, et sur la base de tous les corpus qui ont été analysés jusqu’ici, on parvient à dégager en tout et pour tout deux types d’hémistiches. Le premier, contenu dans les marges du modèle Alex17, et donc non rythmé, sera appelé P0 (pour « préférence zéro »). Le second, fortement rythmé sur sa position médiane, sera appelé P3 (Footnote: Si, à l’avenir, d’autres types d’alexandrins devaient être rencontrés, on mettrait en indice celle(s) de ses position qui serai(en)t la ou les plus proéminente(s) : par exemple, P2 ou P2,4 pour un corpus d’hémistiches dans lequel les formes « iambiques » seraient surreprésentées.). Selon cette logique, l’alexandrin de Corneille est un P0-P0, celui de Racine un P0-P3.
Au début du xviie siècle, on rencontre en somme deux types d’alexandrins (figuren 13). L’un, de tonalité lyrique et qui pourrait bien descendre de celui de la Pléiade, est un vers rythmé, « à deux bosses » (P3-P3). On le trouve chez Malherbe et dans les airs de cour. En face de lui, un alexandrin dramatique se veut « plat » et prosaïque (P0-P0) : c’est celui de Corneille et de Tristan L’Hermite.
Ces deux types d’alexandrins se perpétuent jusqu’au dernier quart du siècle, le premier dans les airs sérieux et les ballets de cour, chez Boileau et dans la tragédie en musique ; le second chez le vieux Corneille et Quinault dramaturge. Parallèlement, se développe un vers asymétrique « à une bosse », dont seul le second hémistiche est rythmé (P0-P3) : c’est le vers de Racine qui, dramatique dans sa fonction, voit sa cadence comme tirée vers le chant.
Dans ce système, le cas de Quinault est encore différent : plutôt que de produire un vers asymétrique, ce poète dramatique semble bel et bien lyrifier la totalité de son vers lorsqu’il passe à la tragédie en musique. Peut-être nous apprend-il aussi que Lully, dans son métier de prosodiste, est plus à l’aise des alexandrins fortement rythmés.
L’intonation, autrement dit la mélodie de la parole, est un objet d’étude complexe. On peut l’envisager au travers de plusieurs disciplines qui, suivant chacune sa logique propre, se comportent néanmoins comme des « canaux » susceptibles d’interférer entre eux (Footnote: Pour des approches récentes (mais pas forcément concordantes) de la théorie de l’intonation, on se référera aux ouvrages de Rossi, L’intonation, Martin, Intonation du français ou Lacheret-Dujour et Beaugendre, La prosodie du français.) :
La pragmatique : on cherche à comprendre comment l’intonation, indépendamment de tout contenu verbal, influence l’acte de communication, par exemple en hiérarchisant l’information transmise ou en renforçant son expressivité.
La syntaxe : on postule qu’il existe un lien plus ou moins direct ou étroit entre la structure grammaticale d’un énoncé ou d’un texte et l’intonation effective.
La métrique : on se demande dans quelle mesure la structure du vers peut dicter ses inflexions à un récitant.
La musique : on cherche à savoir jusqu’à quel point la mélodie composée pour un texte peut en refléter l’intonation parlée.
Mais comment aborder l’intonation sous un angle historique ? L’intonologie est une science jeune qui ne remonte guère au-delà de la seconde moitié du xxe siècle. S’attachant avant tout à modéliser l’oral spontané, elle ne saurait nous apprendre quoi que ce soit sur la diction théâtrale au xviie siècle. La phonétique du français, par contre, s’est constituée au xvie siècle déjà, mais elle traite fort peu d’intonation et, quant elle le fait, c’est d’une manière lacunaire et difficilement compréhensible (Footnote: On pense par exemple au chapitre sur l’« accent » de la Grammere de Louis Meigret.). Il existe aussi, au xviie siècle, des traités de versification qui, s’ils donnent au passage quelques conseils de diction, laissent complètement dans l’ombre la question de l’intonation. Quant aux traités spécialement dévolus à la diction, ce n’est qu’au xixe siècle que les plus fouillés d’entre eux se mettent à aborder l’intonation de manière un tant soit peu détaillée.
Étant donné le peu d’indices à disposition, c’est finalement vers la musique qu’on se tournera. Avec elle, on dispose d’un système ancestral capable de fixer précisément et de transmettre à la postérité des contours mélodiques associés à un texte, ainsi qu’un réservoir presque inépuisable de sources écrites. Seulement, la musique est aussi et surtout un système clos qui obéit à ses propres règles. Il n’existe a priori aucune garantie qu’une mélodie composée véhicule quoi que ce soit de l’intonation parlée du texte qu’elle surmonte. Il serait par exemple parfaitement téméraire de prétendre s’appuyer sur la mélodie d’un air de cour ou d’une chanson populaire pour déclamer son texte. Le style récitatif, par contre, offre de meilleures perspectives. Avec sa réputation de « parlé-chanté », il est susceptible d’avoir été influencé par la pragmatique, la syntaxe et la métrique (figure 14). Il suffirait que la notation musicale ait été imbibée par tout ou partie de ces trois canaux linguistiques pour qu’on puisse en tirer de précieux renseignements sur la diction théâtrale de référence. Mais qu’est-il possible de faire dire à un exemple isolé, fût-il fameux (Footnote: Armide : Acte II, scène 5.) ?
Pas grand-chose, si l’on en croit certain critique du xviiie siècle :
Pour résumer en peu de mots mon sentiment sur le célèbre monologue, je dis que si on l’envisage comme du chant, on n’y trouve ni mesure, ni caractère, ni mélodie : si l’on veut que ce soit du récitatif, on n’y trouve ni naturel ni expression ; quelque nom qu’on veuille lui donner, on le trouve rempli de sons filés, de trilles et autres ornements du chant bien plus ridicules encore dans une pareille situation qu’ils ne le sont communément dans la musique française. La modulation en est régulière, mais puérile par cela même, scolastique, sans énergie, sans affection sensible. (Footnote: Rousseau, Lettre sur la musique françoise, in Oeuvres complètes (1782), VIII, p. 89-90.)
On connaît bien sûr le parti-pris de Jean-Jacques Rousseau contre la musique française et l’on ne s’attend pas, de sa part, à l’objectivité du musicologue. Il n’empêche : on ne peut balayer d’un revers de manche l’affirmation selon laquelle ce récitatif n’est pas « naturel ». D’autant plus que le jugement ne se limite pas audit monologue, mais embrasse le récitatif français dans son ensemble :
Examinons maintenant sur cette regle ce qu’on appelle en France, récitatif, & dites-moi, je vous prie, quel rapport vous pouvez trouver entre ce récitatif & notre déclamation ? Comment concevrez-vous jamais que la langue Françoise, dont l’accent est si uni, si simple, si modeste, si peu chantant, soit bien rendue par les bruyantes et criardes intonations de ce récitatif ; & qu’il y ait quelque rapport entre les douces inflexions de la parole & ces sons soutenus & renflés, ou plutôt ces cris éternels qui sont le tissu de cette partie de notre Musique encore plus même que des airs ? Faites, par exemple, réciter à quelqu’un qui sache lire, les quatre premiers vers de la fameuse reconnoissance d’Iphigénie. A peine reconnoîtrez-vous quelques légeres inégalités, quelques foibles inflexions de voix dans un récit tranquille, qui n’a rien de vif ni de passionné, rien qui doive engager celle qui le fait à élever ou abaisser la voix. Faites ensuite réciter par une de nos Actrices ces mêmes vers sur la note du Musicien, & tâchez, si vous le pouvez, de supporter cette extravagante criaillerie qui passe à chaque instant de bas en haut & de haut en bas, parcourt sans sujet toute l’étendue de la voix, & suspend le récit hors de propos pour filer de beaux sons sur des syllabes qui ne signifient rien, & qui ne forment aucun repos dans le sens ! (Footnote: Rousseau, Lettre sur la musique françoise, in Oeuvres complètes (1782), VIII, p. 71-73.)
Si elle était un tant soit peu justifiée, cette critique ruinerait tout espoir d’utiliser le récitatif pour améliorer notre connaissance de la déclamation parlée. La riposte de Rameau, tout aussi partisane dans sa forme, n’est pas vraiment pour rassurer :
… & cela va justement nous fournir l’occasion de rendre à Lulli la justice qui lui est duë, & qu’on a voulu lui ravir par une Critique d’autant plus mal fondée, qu’elle est généralement contradictoire aux Principes que l’Auteur, lui-même, avoit posés dans l’Encyclopédie. (Footnote: Rameau, Observations sur notre instinct pour la Musique, p. 69.)
Rameau s’efforce bien de prendre le contre-pied de Rousseau, mais il le fait avant tout sur son terrain de prédilection — celui de l’harmonie — qui n’a, bien évidemment, pas de pendant linguistique : c’est du « fonds d’harmonie » que découle la « Mélodie appliquée aux paroles » et c’est de ce même fonds que le chanteur reçoit « l’impression du sentiment qu’il doit peindre » (Footnote: Rameau, Observations sur notre instinct pour la Musique, p. 102.). Loin de lui, donc, toute idée d’une inféodation directe de la mélodie du récitatif à la déclamation du comédien. La mélodie de Lully est notamment susceptible d’aller plus loin qu’une « simple déclamation » (Footnote: Rameau, Observations sur notre instinct pour la Musique, p. 83.), comme dans le vers qui suit (Footnote: Armide : Acte II, scène 5.) où, selon Rameau, le déclamateur lambda devrait monter jusqu’à son, c’est-à-dire jusqu’à la césure du décasyllabe, puis amorcer une descente jusqu’à la fin du vers alors que Lully, au contraire, poursuit l’ascension mélodique jusqu’à -vin- :
Les positions de Rameau et Rousseau incitent à la plus extrême prudence. Si l’on en croit ces commentateurs qu’à peine plus d’un demi-siècle sépare de la mort de Lully, rien n’indique que celui-ci ait directement cherché à calquer la mélodie de son récitatif sur une intonation parlée vraisemblable. On renoncera donc pour l’heure à tirer quoi que ce soit de l’examen d’exemples isolés pour tenter de dégager des régularités à l’échelle du corpus.
De la même manière qu’on a, dans la première partie de cet article, travaillé sur des profils accentuels d’alexandrins, on peut définir des profils mélodiques. L’opération consiste à superposer les mélodies simplifiées (Footnote: On ne retient qu’une note par syllabe numéraire : chaque mélodie comprendra donc exactement douze notes.) correspondant à chacun des vers examinés et à en calculer la moyenne.
Tel qu’il apparaît dans l’figure 15, le profil mélodique de 97 alexandrins qui parsèment les airs de Guédron semble plus ou moins ancré sur leurs hémistiches. Partant de la ligne de base, la mélodie s’éleve quelque peu (Footnote: Comme, dans l’établissement du profil moyen, les mouvements mélodiques ascendants et descendants s’annulent, l’ambitus résultant moyen est faible et dépasse à peine, dans le cas présent, un demi-ton.), elle s’infléchit à la césure pour remonter ensuite et, finalement rejoindre la ligne de base à la fin du vers. Le profil mélodique des alexandrins de Lully (figure 16) est fort différent. Ce qui frappe tout d’abord est le mouvement globalement descendant : la douzième position est située près d’un ton en dessous de la première. Il existe une chute mélodique importante avant la césure et la rime mais, à y regarder de plus près, on croit discerner aussi un mouvement descendant qui aboutit à la position 3 et un autre à la position 9 ou 10. Cette lente descente par étapes successive évoque la déclinaison (Footnote: Sur cette notion, voir Lacheret-Dujour et Beaugendre, La prosodie du français, p. 240 et sq.) de la phrase française, telle qu’elle est décrite par l’intonologie moderne.
On se souvient alors que l’alexandrin de Quinault-Lully est un type P3-P3. Se pourrait-il que le compositeur ait cherché à faire coïncider les sauts mélodiques avec les accents toniques ? Un profil mélodique moyen ne peut ressembler à aucune mélodie réelle, mais on peut d’ores et déjà se demander si, dans un vers comme (Footnote: Roland : Acte IV, scène 2.) :
dans lequel la descente mélodique d’une octave se fait en quatre marches coïncidant en gros avec les quatre accents principaux, ne pourrait pas être prototypique de ce qui ressort du profil mélodique moyen.
Pour mettre à l’épreuve l’hypothèse d’une coïncidence des sauts mélodiques avec les accents toniques, il faudra maintenant répartir les syllabes de divers corpus en :
syllabes accentuées,
syllabes féminines,
autres syllabes (prétoniques et clitiques),
et calculer, pour les syllabes de chacune de ces trois catégories, le saut mélodique moyen en valeur absolue les précédant (tableau 3).
On voit tout d’abord qu’entre Guédron et Bacilly/Lambert, soit entre les débuts de l’air de cour et la floraison de l’air sérieux, la structure des mélodies s’est considérablement modifiée : en quelques décennies, on est passé d’une mélodie « restreinte » dans laquelle l’unisson et le degré conjoint sont prédominants (intervalle moyen inférieur à un demi-ton) à une organisation mélodique plus ambitieuse qui recourt plus aux grands intervalles et, manifestement, sollicite plus les ressources vocales des chanteurs.
Mais ce qui frappe surtout, c’est que, opéras de Lully mis à part, aucun des corpus ne fait la moindre différence entre les trois catégories de syllabes. Alors que tous les compositeurs concernés témoignent, dans leur écriture rythmique, d’une réelle sensibilité à l’accent tonique (Footnote: Dans tous ces corpus, les syllabes accentuées sont, plus souvent que les autres, rendues par une note longue. Pour plus de détails, voir Bettens, Chronique d’un éveil prosodique et Les Bigarrures du Seigneur Bénigne.), ils conservent à son égard une complète liberté mélodique. Seul Lully, dans son récitatif, leur réserve un traitement différencié : les syllabes féminines restent le plus souvent à l’unisson de la syllabe, nécessairement accentuée, qui précède (intervalle moyen inférieur au quart de ton), les autres syllabes non accentuées se cantonnent dans le degré conjoint (intervalle moyen compris entre le demi-ton et le ton) alors que seules les syllabes accentuées donnent régulièrement lieu à des sauts mélodiques qui excèdent un ton. En dépit du rôle fondamental qu’y joue l’harmonie, et n’en déplaise à Rameau (Footnote: Il ne serait pas très étonnant, du reste, qu’il existe un certain degré de coïncidence entre les sauts mélodiques de la voix chantée et la marche de la basse.), le récitatif de Lully cale bel et bien sa mélodie sur le rythme accentuel du texte.
Le fait que ce comportement mélodique ne se retrouve nulle part avant Lully est de la plus haute importance. En l’absence de tout modèle musical, peut-il avoir été inspiré par autre chose que la pratique des comédiens ? S’il n’appartient pas à la composante « chantée » du récitatif, n’est-il pas logique d’admettre que c’est de sa composante « parlée » qu’il relève ? Mais que disent à ce propos les traités de diction ?
D’après ce qui précède, on voit qu’un mot est un tout composé de syllabes qu’un lien rigide et inextensible maintient à leurs hauteurs relatives. Mais nous n’avons là que le corps du mot, si je puis m’exprimer ainsi, et il est une syllabe, la syllabe accentuée, celle qu’on appelle la syllabe tonique, qui en est en quelque sorte la tête. Cette syllabe n’est pas réunie aux précédentes par un lien rigide, mais au contraire par une sorte d’articulation. C’est par excellence la syllabe sensible et expressive, et l’articulation qui l’unit au mot qu’elle termine lui permet de se mouvoir dans le plan vertical des hauteurs. Par exemple, dans les deux mots immobilité, intempérance, les syllabes atones immobili et intempé ont des hauteurs relatives fixes, tandis que les syllabes toniques té et rance auront des hauteurs variables qui seront déterminées par l’expression, et nous pourrons à volonté les élever au-dessus ou les abaisser au-dessous du plan vocal auquel nous aurons rapporté ces mots. Nous ne sommes pas libres de modifier la relation de hauteur qui fait des syllabes antérieures un dessin mélodique toujours identique à lui-même, mais nous le sommes de porter plus haut ou plus bas la syllabe accentuée. Quand nous prononçons, par exemple, le mot immobilité, il nous est loisible après avoir prononcé, dans une tonalité quelconque, le dessin mélodique fixe formé par les syllabes immobili, de dire la dernière syllabe té, soit en montant, soit en descendant. (Footnote: Becq de Fouquières, Traité de Diction, p. 131.)
Il serait bien sûr impossible de rencontrer une description d’une telle précision dans un écrit contemporain de Lully, ou même de Rousseau et Rameau (Footnote: La notion même d’accent tonique était inconnue à l’époque.). Celle-ci est extraite d’un des plus importants traités de diction du xixe siècle, celui de Becq de Fouquières. Mais la ressemblance n’en est que plus spectaculaire : ce que professe Becq de Fouquières en 1881 se trouve correspondre assez étroitement à ce que Lully fait sans le dire deux siècles auparavant : utiliser l’accent tonique pour porter la déclamation d’un « plan vocal » à l’autre.
Becq de Fouquières, pas plus que Lully, n’a la prétention de livrer un portrait au naturel de l’oral spontané. Tous deux par contre décrivent, chacun à sa manière et sans bien sûr avoir pu se concerter, la même technique de déclamation. Il est permis de supposer que cette technique jouit d’une certaine universalité et d’une certaine longévité : elle n’a sûrement pas été inventée par Lully et rien n’indique qu’elle se soit éteinte avec Becq de Fouquières. Elle ne dit pas dans quelle direction il faut porter la voix ni de combien — ces paramètres sont laissés à la discrétion de celui qui déclame — mais où il faut de préférence placer les sauts mélodiques.
Jusqu’ici, les mouvements mélodiques ont été examinés à l’échelle très restreinte des unités accentuelles minimales telles qu’elles ressortent du marquage utilisé par le modèle Alex17. On souhaite maintenant élargir le champ à des unités plus grandes et plus cohérentes. Si le repérage des frontières métriques que sont la césure et la rime ne pose aucun problème, on ne peut malheureusement pas en dire autant de l’analyse grammaticale. Dans l’idéal, on aimerait bien sûr pouvoir reconstituer dans toute sa subtilité la structure syntaxique des textes traités mais, sur ce terrain, les outils logiciels sont encore à la peine : « comprendre » un texte du xviie siècle, qui plus est en vers, est encore, comme le rapporte Beaudouin (Footnote: Beaudouin, Mètre et rythmes, p. 251, 267.), très largement hors de leur portée. En revanche, la ponctuation est très facile à traiter et, même si elle n’est de loin pas systématique, elle permet de repérer des coupures syntaxiques d’une certaine importance. On peut même postuler qu’une simple virgule signale une coupure en moyenne moins importante qu’une marque de ponctuation plus « forte ».
Dans les figures 17 à 19, on a représenté le comportement mélodique de Lully dans diverses situations. Chaque fois qu’il rencontre un accent, il a logiquement le choix entre un mouvement ascendant (A), un mouvement descendant (D) ou un unisson (U). Le triangle externe relie entre eux les maxima (100 %) de chacun des trois axes traitillés A, D et U ; les points délimitant le triangle hachuré représentent, sur chaque axe, le pourcentage des cas dans lesquels Lully choisit le mouvement correspondant. Pour cette statistique, ce sont 22 275 accents identifiés dans les alexandrins des 13 tragédies lyriques de Lully qui ont été pris en compte. Dans toute la mesure du possible, on s’est appuyé sur la ponctuation des livrets, tels qu’ils ont été imprimés du vivant de Quinault et Lully.
Lorsqu’il rencontre un accent qui ne correspond ni à une frontière métrique ni à une marque de ponctuation (figure 17 a), Lully se comporte d’une manière imprévisible : il choisit, dans des proportions quasiment égales, l’un ou l’autre des mouvements possibles. Pour les césures isolées (figure 17 b), il évite presque toujours l’unisson et favorise nettement le mouvement ascendant sur le mouvement descendant : en adoptant le point de vue de l’intonologie moderne, on conclurait que la césure en elle-même est plus continuative que conclusive (Footnote: Roland : Prologue.) :
Enfin, dans les cas où la rime survient sans marque de ponctuation (figure 17 c), il favorise très nettement le mouvement descendant que l’intonologie considère comme conclusif (Footnote: Roland : Prologue.) :
Examinées isolément, les marques de ponctuation donnent également lieu à un traitement mélodique différencié. La virgule (figure 18 d), même si elle laisse une place relativement importante à l’intonation ascendante, semble légèrement plus conclusive que la césure seule. Quand aux ponctuations fortes (figure 18 e), elles se soldent dans plus de trois quarts des cas par le mouvement descendant de la conclusion.
Lorsqu’une marque de ponctuation apparaît à la césure (figure 19 f), le mouvement mélodique choisi, tout en excluant presque systématiquement l’unisson, se révèle moins continuatif qu’une césure isolée, mais moins conclusif qu’une virgule seule. Selon la même logique, on s’attendrait à ce que l’association rime-ponctuation (figure 19 g) donne lieu à un maximum de mouvements descendants. Il est donc surprenant de voir l’unisson, presque absent jusqu’ici, revenir en force. Dans cette situation — la plus conclusive qui soit — on assiste probablement à une anticipation du mouvement descendant, les deux dernières syllabes se retrouvant à l’unisson par un effet de cadence dont la justification apparaît plus musicale que linguistique (Footnote: Roland : Acte II, scène 1.) :
Finement différencié, le comportement mélodique de Lully ne saurait s’expliquer par le seul « fonds d’harmonie ». Telle que la définira Rameau, l’harmonie est en effet neutre en matière de conduite des voix et laisse le compositeur libre de calquer ou non la directionnalité de la mélodie sur les inflexions du vers et de la phrase, ce que, manifestement, Lully s’attache à faire avec le plus grand soin. Les quelques règles dégagées ici permettent par surcroît de faire ressortir les irrégularités de la conduite mélodique de Lully. Lorsque, par exemple, un saut mélodique intervient ailleurs qu’avant une syllabe accentuée, on soupçonnera un « accent de focalisation » à fonction expressive (Footnote: Au sens que Rossi donne à ce terme, L’intonation, p. 116 et sq.), comme, dans les illustrations musicales ci-dessus, sur « soupçon », « terribles », « fureurs », « affreuses ».
De manière plus générale, l’existence de convergences entre les procédés mélodiques de Lully et, d’une part une technique de déclamation bien attestée au xixe siècle, d’autre part des phénomènes décrits par l’intonation pragmatique contemporaine, en plus de valider le travail de stylisation du parlé qu’accomplit Lully, donne à penser que l’intonation du français, notamment dans la déclamation, a connu une certaine stabilité au cours des siècles.
Comme le montre la querelle Rameau-Rousseau, émettre une critique objective sur l’adéquation de la prosodie de Lully au discours parlé est une vraie gageure. Des considérations esthétiques voire idéologiques s’immiscent immanquablement dans l’évaluation et en compromettent l’impartialité. Par ailleurs, la prosodie de la langue française est si imparfaitement connue et formalisée que deux critiques utilisant le même terme peuvent fort bien se référer à des réalités complètement différentes. L’observateur du xxie siècle n’est pas plus à l’abri de ces biais que ceux du xviiie : face aux premiers vers du monologue d’Armide, on trouvera aujourd’hui autant d’enthousiastes pour admirer la parfaite adéquation du contour mélodique à une déclamation efficace que de grincheux pour critiquer le peu de naturel de la magicienne ou le peu de réalisme du compositeur.
Sujette aux mêmes biais, aux mêmes incertitudes et aux mêmes flottements terminologiques, la gastronomie et l’œnologie ont mis au point des épreuves de dégustation à l’aveugle qui, à défaut de restaurer une impossible objectivité, garantissent au moins, de la part des experts, une forme d’impartialité. De telles épreuves, on le sait bien, donnent souvent des résultats surprenants : il n’est pas rare que des produits prestigieux, habituellement encensés par la critique, y obtiennent des notes médiocres alors que des produits peu connus, voire décriés pour des raisons idéologiques, sortent largement premiers.
C’est à un exercice de ce type que se sont prêtés une petite vingtaine d’experts, linguistes, métriciens, littéraires, musicologues ou musiciens pour la plupart francophones de naissance, ou alors disposant d’une connaissance particulièrement intime de la langue et de la culture françaises : Valérie Beaudouin, Dominique Billy, Philippe Caron, David Chappuis, Pierre-Alain Clerc, Benoît de Cornulier, Anne-Madeleine Goulet, Sabine Lardon, Jean-Noël Laurenti, Thomas Leconte, Marinette Matthey, Yves-Charles Morin, Laura Naudeix, Buford Norman, Bertrand Porot, Herbert Schneider, Alice Tacaille. Qu’ils trouvent ici l’expression de ma vive gratitude.
Chaque expert pressenti a donc reçu un courrier électronique décrivant en quelques mots la démarche et l’invitant à y participer. En se connectant à l’URL qui lui était fournie, il accédait à une brève explication :
Votre tâche consiste à évaluer, l’un après l’autre, une centaine de contours intonatifs (autrement dit, mélodiques) associés à autant d’alexandrins. Ce ne sont pas les alexandrins en eux-mêmes qu’il vous est demandé d’apprécier, mais uniquement la manière dont ils sont rendus par les contours intonatifs suggérés. Vous fonctionnez comme expert, il n’y a donc pas de « bonne » ou de « mauvaise » réponse : c’est votre sentiment personnel qui est intéressant.
Les alexandrins à juger vous sont présentés sous forme étagée, comme par exemple :
![]()
Les syllabes les plus haut placées sur la page sont à imaginer comme les plus aiguës, et les plus bas placées comme les plus graves. La notation est donc analogue à celle d’une portée musicale, mais il ne faut pas essayer d’imaginer une mélodie formée de tons et de demi-tons, encore moins de reconstituer celle qu’aurait pu écrire Lully. Il s’agit juste de parler les vers en observant grosso modo le contour indiqué. Vous êtes par ailleurs libre de les rythmer comme bon vous semble.
Vous disposez d’une échelle de six appréciations, allant de très bien (le contour intonatif vous paraît harmonieux, gracieux, élégant, en accord avec le vers) à très mal (le contour intonatif vous semble lourd, heurté, maladroit, inapproprié au vers).
N’hésitez pas plus de quelques secondes, ne cherchez pas à expliquer, à justifier, à théoriser : c’est votre première impression, la plus instinctive possible, qui doit prévaloir. Pour cette raison, il ne vous sera pas possible de vous raviser : dès que vous aurez coché une mention, elle sera enregistrée et l’alexandrin suivant vous sera présenté. Afin d’ajuster votre tir, vous disposez pour commencer de douze coups d’essai qui ne seront pas pris en compte.
Au terme de l’exercice, il était possible de laisser un commentaire à chaud. De manière répétée, le travail d’évaluation a été jugé intéressant, voire passionnant, ludique mais aussi déconcertant, déstabilisant. Certains experts se sont sentis mis à nu, exprimant la crainte d’être jugés sur leur jugement, ou leur réticence à juger un « grand auteur ». L’absence d’indications rythmiques a été jugée handicapante, le regret que les alexandrins ne soient pas présentés sous forme sonore a été exprimé. Le contexte d’un alexandrin isolé, sans marques de ponctuation, a pu être frustrant. L’existence de mouvements mélodiques « bizarres » a été remarquée. Plusieurs experts ne font pas confiance à leur jugement, pensent qu’il n’est pas reproductible, estiment avoir été timorés en se cantonnant dans les appréciations moyennes. L’un d’eux a relevé qu’il n’y avait pas de règle absolue pour déterminer l’intonation, plusieurs ont affirmé leur préférence pour les contours de peu d’amplitude, dépourvus de sauts trop importants. Certains craignent avoir été directement influencés par des réminiscences de Lully, d’autres par leur propre travail sur la déclamation. Un expert a été troublé par le fait que la syllabe surnuméraire des vers féminins soit rendue comme les autres. Un autre s’est surpris à juger de l’esthétique graphique plutôt que sonore de tel ou tel contour.
Les 100 alexandrins du test ont été tirés au sort dans trois livrets de Quinault : Cadmus et Hermione, Isis et Armide. Ce que les experts ignoraient — mais on ne leur avait pas dit non plus qu’ils étaient tous authentiques — c’est que seule la moitié des tracés intonatifs présentés correspondaient effectivement à la musique composée par Lully pour ces vers. Dans un quart des cas, la musique originale avait été remplacée par la mélodie composée pour un autre alexandrin, également tiré au sort. Pour le dernier quart, un contour aléatoire avait été généré en tirant des intervalles au sort avec une pondération correspondant à leur fréquence dans l’ensemble du corpus. Il faut souligner que, hormis la sélection initiale des trois livrets sources, la constitution du matériel du test n’a nécessité aucun choix délibéré, le hasard le plus strict ayant présidé à toutes les décisions.
Un tel dispositif vise à attaquer l’hypothèse nulle suivante : pour un expert de 2010, il n’existe pas de différence significative entre un tracé fondé sur la mélodie de Lully et un tracé choisi ou généré au hasard. On envisage deux résultats possibles :
les experts accordent en moyenne la même note aux vrais contours et aux faux et l’hypothèse nulle est, jusqu’à nouvel avis, considérée comme valable ;
les experts accordent des notes significativement différentes aux vrais et aux faux contours, accordant une nette préférence aux uns (ou aux autres) et l’hypohthèse nulle est réfutée.
Tous experts confondus, les contours mélodiques authentiques obtiennent la note moyenne de 4,14 sur une échelle qui va de 1 (très mal) à 6 (très bien), ce qui les situe entre « assez bien » et « bien ». Les contours mélodiques inauthentiques, qui constituent l’échantillon de contrôle, obtiennent quant à eux une moyenne de 3,96 (entre « assez mal » et « assez bien »). La différence est loin d’être spectaculaire, mais elle est statistiquement significative (Footnote: p < 0,01 (Student).). Comparés entre eux, les deux sous-échantillons de contrôle, à savoir celui obtenu par substitution de mélodie et celui obtenu par génération de contour, obtiennent respectivement les notes 3,90 et 4,02 : la différence n’est pas statistiquement significative (Footnote: p = 0,2 (Student).). On peut donc affirmer — mais on ne le claironnera pas tant le résultat apparaît serré — que l’hypothèse nulle est globalement réfutée.
Dans la figure 20, on a reporté, pour chaque expert désigné par une lettre de A à R, la note moyenne obtenue par les « vrais » et les « faux » contours. En haut, les triangles figurent la différence entre les deux notes, positive si les vrais contours ont été préférés, négative dans le cas contraire (échelle graduée de droite).
Les huit triangles situés entre les deux lignes traitillées correspondent à des experts non discriminants (B, C, I, K, L, P, Q, R) : ils attribuent la même note moyenne aux vrais et aux faux contours. Les huit experts A, D, E, F, G, H, M et N sont au contraire considérés comme discriminants : ils attribuent en moyenne une meilleure note aux vrais contours qu’aux faux. Enfin, seul de son espèce, l’expert O est fortement discriminant, mais dans l’autre sens que ses collègues : il attribue une note bien meilleure aux faux contours qu’à ceux de Lully.
Le fait que certains experts ne discriminent pas peut s’expliquer en partie par les conditions de l’expérience. La présentation sous forme graphique de ce qu’on peut considérer comme des contours in vitro est la seule qui permette d’isoler de tous les autres le paramètre intonatif. Il n’est cependant pas certain qu’elle se soit révélée parlante pour tous les experts. Pour ceux qui n’auraient pas été gênés par ces conditions bien particulières, il est possible que la non-discrimination traduise une coïncidence imparfaite de leurs schémas intonatifs intimes avec la pratique de Lully. La non-discrimination s’expliquerait alors par une curiosité bienveillante à l’égard de certains contours « bizarres » alliée à une réprobation prudente de certains contours accidentés, pourtant parfaitement lullystes.
En gros, un expert sur deux est discriminant. Il est tentant d’y voir la persistance au moins partielle, dans l’« instinct » linguistique contemporain, de schémas intonatifs proches de ceux qu’utilisait Lully. Mais, ici aussi, il faudra rester prudent. Il n’est pas exclu qu’une familiarité acquise avec la musique du xviie siècle ait plus ou moins largement contribué à former le goût de certains experts. On n’ose pas imaginer quel résultat aurait donné l’expérience si les sujets avaient été choisis au hasard dans la rue.
Enfin, l’on s’interroge : le fait qu’un expert et un seul se montre particulièrement sévère à l’égard du traitement mélodique de Lully pourrait-il traduire une forme d’aversion pour la « belle » déclamation chantante telle qu’on la cultivait aux siècles passés ? On évoque à ce propos la position de Milner et Regnault (Footnote: Milner et Regnault, Dire le vers, p. 11-80.) qui, rejetant toute tradition de déclamation, lancent un appel quasiment rousseauiste à la nature et veulent que le vers, et par conséquent sa diction, soit « entièrement homogènes à la langue française » et que son intonation suive celle de la « langue commune ».
Les notes attribuées par les experts permettent de distinguer, au sein des contours évalués, les bons des mauvais « élèves ». Ce sont bien sûr les extrêmes du classement qui sont les plus intéressants, car ils peuvent aider à comprendre ce que, globalement ou par groupes, les experts plébiscitent ou condamnent. Dans les figures 21 à 24, on trouvera : à gauche, le contour soumis aux experts au-dessus de la mélodie authentique de Lully ; à droite, la référence du vers, le caractère vrai ou faux du contour soumis, la note moyenne attribuée par tous les experts (T) et celle attribuée par les seuls experts discriminants (D).
La figure 21 présente les contours les mieux notés par tous les experts confondus, soit sept vrais et trois faux. Parmi ces derniers, on relève quelques sauts mélodiques qui ne sont manifestement pas conformes à la doctrine de Becq de Fouquières et qu’on n’attendrait pas chez Lully : le saut descendant après voyez (figure 21 d) qui entraîne une curieuse focalisation sur la préposition en alors que Lully, plus rhétoriquement, focalise sur quels. Le contour de la figure 21 h suggère une focalisation sur quitter que Lully ne pratique pas (il lui aurait probablement réservé un saut ascendant plutôt descendant) mais qui, d’un point de vue rhétorique, pourrait se justifier. Par contre, la descente sur la syllabe féminine de rivages est plus que curieuse : les experts discriminants se sont du reste montrés beaucoup plus sévères pour ce contour. Le contour de la figure 21 k est peu accusé et le faux soumis aux experts se trouve, par hasard, ressembler d’assez près à la mélodie de Lully. On s’interroge néanmoins sur l’adéquation du décrochement avant harmonieux avec le style de Lully.
Dans leur ensemble, ces contours sont descendants : huit sur dix se terminent plus bas qu’ils n’ont commencé et, dans les deux vers qui font exception, c’est le second hémistiche qui accuse une descente mélodique. Enfin, les experts semblent avoir apprécié quelques sauts à valeur rhétorique (anabase ou catabase) : la descente sur fond (figure 21 a), le sommet sur combler (figure 21 e), la « descente aux enfers » sur mortels (figure 21 f) et le saut ascendant sur dessus (figure 21 g).
Les contours préférés des experts discriminants (figure 22) ne recoupent que partiellement cette première série. Parmi ceux qui n’ont pas séduit l’ensemble des experts, on trouve des contours de plus grande amplitude, autrement dit plus emphatiques, qui ont pu faire peur aux experts non discriminants. Les experts discriminants n’ont quant à eux pas été effarouchés par la focalisation de la deuxième syllabe de Jupiter (figure 22 b) ainsi que celles de mots outils comme ces (figure 22 b), luy (figure 22 d), qui ne sont pas inhabituelles chez Lully mais peuvent surprendre aujourd’hui. Il n’ont pas non plus été rebutés par le mouvement ascendant sur sépare, qui donne une tonalité exclamative au vers correspondant et résulte d’une faute de copie survenue lors de la préparation du matériel en vue du test ! Le contour de la figure 22 k est un faux, mais il se trouve par hasard correspondre fort bien au vers de Quinault, mieux probablement que la mélodie de Lully qui est peu déclamatoire puisqu’elle reprend un thème de chaconne.
Plus généralement, et pour autant qu’on puisse en juger sur la base de cet échantillon, c’est Isis qui occupe la plus haute marche du podium, suivi de peu par Cadmus alors qu’Armide, souvent considérée comme le chef-d’œuvre de Quinault-Lully, doit se contenter de la troisième place. Cette performance mitigée rejoint d’autres observations sur le traitement rythmique du texte par Lully (Footnote: Bettens, Empreintes de parole dans l’écriture de Lully.), qui montrent que ses dernières tragédies en musique tendent vers une sorte d’arioso moins radicalement « parlé » que le récitatif des débuts. On ne saurait bien sûr extrapoler cela à la valeur artistique des œuvres concernées.
Au bas du classement, on trouve, chez tous les experts confondus, des contours dont huit sur dix sont des faux. Il n’est le plus souvent pas difficile de comprendre ce qui a été sanctionné : la brusque descente sur la syllabe tonique de occupent suivie d’un saut ascendant sur la féminine (figure 23 z), le saut ascendant extrême que rien ne justifie entre encor et d’exprimer (figure 23 y), un contour heurté avec saut ascendant sur la préposition de (figure 23 x), le saut descendant après ah ! alors que chacun attend un saut ascendant avant cette interjection (figure 23 v), le saut ascendant sur la féminine de votre (figure 23 r), des mouvements ascendants non motivés, touchant pour l’un tout le second hémistiche et pour l’autre les trois dernières syllabes d’un vers (figure 23 q et p), un contour globalement incohérent (figure 23 o). S’agissant des deux vrais contours qui apparaissent dans la liste, on peut imaginer que le mouvement heurté du premier (figure 23 t), bien que cohérent, ait rebuté certains experts et que le saut (faudrait-il le comprendre comme un glissando ?) descendant sur jouit (figure 23 s) ait paru trop osé à certains.
Seuls quatre contours qui avaient échappé aux foudres des experts non discriminants ont été sanctionnés par leurs collègues discriminants. On suppose que le saut descendant sur sagesse, la mise en évidence de que (figure 24 z) et le saut descendant sur la féminine de j’approuve (figure 24 v) sont à l’origine de leur jugement défavorable. S’agissant du contour de la figure 24 x, c’est probablement son aspect plat et informe qui a déplu. Enfin, on retrouve (figure 24 r) un vers que les experts discriminants avaient salué avec un faux contour (Footnote: Ce vers étant récurrent, il a été tiré au sort deux fois et le hasard a voulu que, dans un cas, le contour mélodique original ait été remplacé par un contour aléatoire qui lui convient étrangement bien. Dans l’ordre de présentation aux experts, lui aussi déterminé au hasard, ces deux contours n’étaient pas consécutifs.) (figure 22 k) : c’est ici le vrai contour, à savoir le thème de chaconne de Lully, qui est jugé peu satisfaisant.
Il n’est pas facile d’expliciter les choix de l’expert O qui constitue un groupe à lui seul en discriminant à l’envers des autres. En survolant les 36 contours (dont 21 faux) auxquels il attribue la note 6, on voit immédiatement qu’ils sont plutôt accidentés : ce n’est donc pas, en elle-même, la déclamation chantante qui le rebute. En les confrontant aux 11 contours (dont un seul faux) auxquels il attribue la note 1, on retire l’impression qu’il accorde une préférence relative à des contours associant montée graduelle et sauts descendants alors que Lully, on l’a vu, allie le plus souvent la déclinaison graduelle de la phrase française avec des sauts en majorité ascendants marquant les focalisations expressives.
Premier librettiste à succès de l’histoire de l’opéra français, le poète Quinault se trouve comme tiraillé entre une tradition lyrique et une tradition dramatique ; on en trouve la trace jusque dans ses vers. À l’image de celui de Corneille, son alexandrin dramatique se caractérise par un rythme accentuel plutôt plat. Lorsqu’il travaille pour Lully, par contre, il s’adonne à l’alexandrin plus rythmé qui prédomine dans la poésie chantée.
Grâce au modèle Alex17, qui recourt à la simulation informatique, il est possible de montrer que l’alexandrin dramatique de Corneille est prosaïque : les accents s’y répartissent conformément aux lois du hasard. L’alexandrin lyrique, dont chacun des hémistiches présente un surcroît d’accents sur sa position médiane, échappe aux prévisions du modèle et résulte donc d’une intention rythmique, consciente ou inconsciente, du poète. Cette observation n’est pas sans importance s’agissant d’une époque où les compositeurs accordent une attention croissante au traitement rythmique de l’accent tonique.
Alors que ses prédécesseurs disposent, à l’égard du texte mis en musique, d’une liberté mélodique totale, Lully inaugure un style dont les sauts mélodiques se synchronisent avec les accents toniques. Cette pratique évoque une technique de déclamation qui ne sera précisément décrite qu’au xixe siècle, mais dont on peut supposer qu’elle était déjà traditionnelle au moment où il invente son récitatif. L’écriture de Lully semble de plus influencée par certains faits d’intonation liés à la pragmatique et à la syntaxe : mouvement globalement descendant de la phrase, mouvements ascendants et descendants marquant la continuation et la conclusion, sauts mélodiques sur des syllabes prétoniques évoquant des focalisations expressives. Elle porte aussi la trace du mètre, avec prédominance de mouvements ascendants à la césure et de mouvements descendants à la rime. Les résultats présentés ici laissent espérer que l’intonation emphatique d’un comédien du xviie siècle pourra un jour être modélisée de manière assez fine.
Enfin, il apparaît que, sous certaines conditions, les mouvements intonatifs du récitatif de Lully, isolés de tous les autres paramètres, peuvent être directement parlants pour des locuteurs aujourd’hui. Des experts certes triés sur le volet sont capables, en utilisant leur instinct linguistique, mais probablement aussi aidés par leur familiarité avec la littérature et de la musique du xviie siècle, de distinguer des contours mélodiques répondant aux canons lullystes d’autres contours choisis ou générés au hasard. Sur cette base, il n’y a donc pas lieu de penser que l’intonation du français lu ou déclamé ait subi un profond bouleversement entre le xviie siècle et nos jours.
Footnotes: